Back to Top
Back to Obaheaters

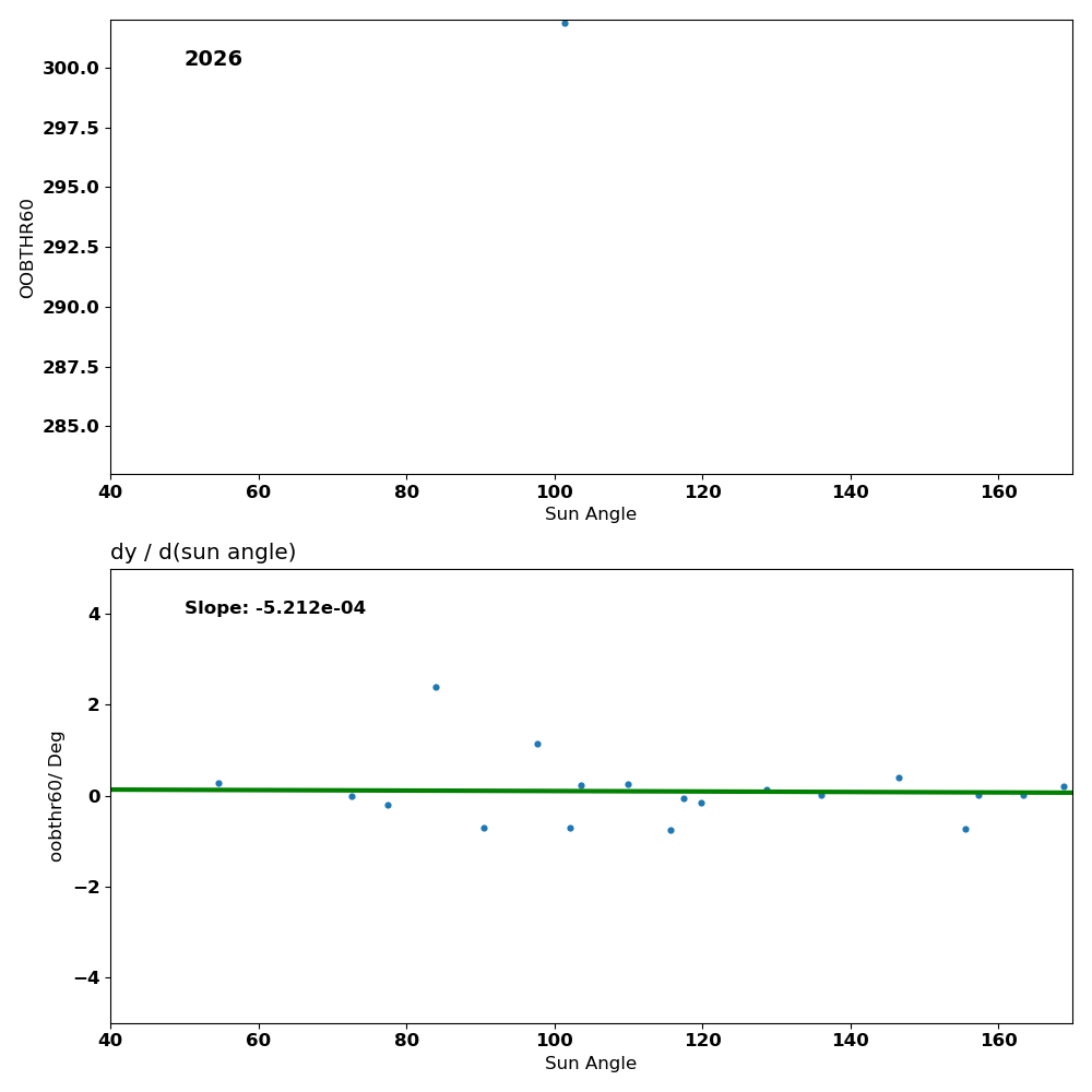
OOBTHR60 vs Angle to Sun Center

lick the dot in the table to select the year to display. Or click the lime color arrows at either side of the plot to move to the previous or the next year.

  1999
2000 2001 2002 2003 2004 2005 2006 2007 2008 2009
2010 2011 2012 2013 2014 2015 2016 2017 2018 2019
2020 2021 2022 2023 2024 2025 2026
1/28
2/28
3/28
4/28
5/28
6/28
7/28
8/28
9/28
10/28
11/28
12/28
13/28
14/28
15/28
16/28
17/28
18/28
19/28
20/28
21/28
22/28
23/28
24/28
25/28
26/28
27/28
28/28


If you have any questions, please contact swolk@cfa.harvard.edu.

Data Updated: #TODAY#
Last Site Modification: Sep 30, 2021