ACIS QE Contamination
Introduction
The effective low-energy ACIS QE is lower now than it was at launch. This problem is thought to be associated with the deposition of one or more materials on the ACIS optical blocking filters. Since the depth of these contaminants is growing with time, the effective low-energy QE is becoming lower as time passes. A correction for this contamination is incorporated when creating ACIS response files. For more recent information on the ACIS contamination buildup, see the ACIS chapter of the Chandra proposer observatory guide.
The ACIS QE contamination model also accounts for spatial variations in the contamination on the ACIS optical blocking filters. The contamination is expressed as a function of time, energy, and ACIS chip coordinates. For imaging analysis of extended sources or point sources far off-axis, there is a significant change in instrument and exposure maps when the calibration is applied.
The response tools are designed to incorporate corrections for ACIS contamination via ARDLIB and a CALDB contamination file. The necessary calibration files have been available since CALDB 2.26 (2 February 2004) and most recently updated in CALDB 4.12.3 (16 December 2025). The N0016 version extends the quasi-linear model for the optical depth of the overlayer out for two more years, since the previous N0015 update in 2023. The models are separate between ACIS-I and ACIS-S arrays, however the center-to-edge model has not changed for either array. This version has been tested against all of the most recent Mkn 421 and E0102-72.3 (ACIS-S and ACIS-I) and A1795 (ACIS-S and ACIS-I) calibration observations, as well as being confirmed to be consistent with earlier calibration models for earlier observations.
![[NOTE]](../imgs/note.png)
This page contains information from ACIS contamination models released throughout the mission. Starting with CALDB v4.12.4, only the most recent version of the ACIS contamination model, which is applicable for all epochs, is included in the CALDB. While use of previous contamination models is generally not recommended, details about how they can be obtained and used are provided in the Using Older Model Versions section.
The version N0015 model is an evolution of the N0013 contamination model and an upgrade of the previous N0014 model (released 16 December 2020 in CalDB 4.9.4) which showed a ~7% under-correction for the contamination effect with recent calibration sources on both ACIS-S and -I. The N0015 model adjusts the level and rate of contamination for the years 2020-2022 on the central portions of the detectors. The version N0013 model was the result of ACIS monitoring (from 2018 through mid-2019) and modeling—of the blazar Mkn 421 and galaxy cluster Abell 1795, and supplemented by calibration observations of the supernova remnant 1E 0102-72.3—showed the resumption of the rapid rate of contaminant accumulation observed prior to 2016. The earlier N0011/N0012 model was replaced since it assumed the contaminant accumulation observed to be leveling off in 2017 would continue into the future.
To learn about the previous versions of the contamination model, particularly the version N0013 model, can be found.
The overall affect of the contaminant build-up is best illustrated using the convolved spectra from Abell 1795—a stable source observed annually for calibration purposes since the start of the mission—demonstrating the loss of ACIS-S effective area over time.
ACIS-S Time-Evolution
![[spectra from A1795 monitoring, illustrating change in EAs.]](imgs/figure10_4.5.9.gif)
![[Print media version: spectra from A1795 monitoring, illustrating change in EAs.]](imgs/figure10_4.5.9.gif)
ACIS-S Time-Evolution
The result of a simultaneous fit spectra, extracted from nine observations of A1759 in 2000, 2002, 2004, 2005, 2009, 2010, 2011,2012 and 2013.
Technical Details
As the Chandra mission proceeds, the contamination on the ACIS Optical Blocking Filters (OBF) for ACIS-I and ACIS-S continues to evolve, with a marked increase in the rate of accumulation since the middle of 2009 and a slow down in more recent years, beginning in 2016.
The contamination model was developed on top of the systematic procedure—using observations of standard sources A1795 and Mkn 421, on ACIS-I and ACIS-S separately— and supplemented with observations of the astronomical calibration source 1E 0102-72.3. New enhancements in the temporal model adds additional complexity to the layers of several model components (C, O, and F) known to dominate the chemical composition of the contaminating layer on the ACIS OBF introduced in the N0011 and N0012 contamination models for ACIS-I and ACIS-S, respectively. The spatial model introduced in N0010, gives more consistent results at off-axis pointings on both ACIS-I and ACIS-S. The issues with the lack of knowledge on the contamination layer optical depth at high CHIPY locations on ACIS-S3 caused problems in prior models, but the spatial model allows for asymmetry in the ACIS-S CHIPY contamination layer to provide better fits.
For both ACIS-I and ACIS-S, the new models only have a minor affect on the pre-2005 EAs; and while the contamination is negligible above 2.0 keV, but near the O-K absorption edge at 0.535 keV, the difference between the N0009 and N0010 models is not insignificant, so the new contamination model will affect low-energy source modeling results for observations after 2005, especially analysis where a significant portion of the considered spectrum is below 1.0 keV.
In the N0013 contamination model, based on observations from 2015-2018, it appeared that the accumulation of the contaminant was uniform across the optical blocking filters, but the observations since mid-2018 suggests a higher accumulation rate at the detector edges so that the spatial component had been revised to predict significantly higher optical depths at the edges compared to the prior contamination model (N0014). Furthermore, the observations since 2020 suggests an even higher accumulation rate towards the aimpoint, so the optical depth towards the center of the detector has also been adjusted while leaving the center-to-edge model component unchanged (N0015).
Spatial Contamination Model (center S3)
![[Updated spatial variation of the contaminant on ACIS-S3 and include the latest calibration source measurements]](imgs/Delta_Tau_N14.gif)
![[Print media version: Updated spatial variation of the contaminant on ACIS-S3 and include the latest calibration source measurements]](imgs/Delta_Tau_N14.gif)
Spatial Contamination Model (center S3)
The evolution of the carbon optical depth spatial variation of the contamination layer across the optical blocking filter on ACIS-S3 at 0.66 keV from the the prior N0013 contamination model (trace) compared to calibration "big dither" ACIS-S/LETG observations of Mkn 421.
The temporal component has been revised to describe the accumulation of the contaminant with a power-law instead of a flattening model, making a notable change in the effective area below 1 keV, particularly on ACIS-I. This is based on several data points between 2016-2018 where starting in late-2017, calibration observations started to show that the predictive component of the N0010 contamination model was over-estimating the rate of accumulation on the OBF and the affects of contamination, considerably reducing the effective area of data products generated with the model across the 0.06-3.0 keV energy range compared to the true effective area. This leveling off of the contaminant build up in 2017, particularly on the ACIS-I OBF, was introduced as a modification of the N0010 contamination model in the time-dependent model for ACIS-I in the N0011 model and ACIS-S in the N0012 model—introduced in June and October 2018, respectively—and propagated into the predictive regime of the models. However, observations taken since mid-2018 through 2019 indicates that the contaminant resumed accumulating at a rapid rate on ACIS-I, resulting in the temporal model change in the N0013 contamination model.
Temporal Contamination Model (center S3)
![[Updated time-dependence in the center of both ACIS-S3 and include the latest calibration source measurements]](imgs/Tau_C-Kcenter_N14.gif)
![[Print media version: Updated time-dependence in the center of both ACIS-S3 and include the latest calibration source measurements]](imgs/Tau_C-Kcenter_N14.gif)
Temporal Contamination Model (center S3)
The time-evolution of the carbon optical depth of the contaminant layer on the optical blocking filter in the center of both ACIS-S3 from the prior N0013 contamination model (trace) compared to calibration "big dither" ACIS-S/LETG observations of Mkn 421.
However, the resumption of the rapid increase in the contaminant is clear after early-2018 in the N0012 temporal model trace. The N0013 temporal model becomes linear with time at about 2016 and thereafter, which fits the 2018-2019 measurements much better without compromising earlier period performance.
Prior to the N0010 model, the absorption layers of the contaminant corresponded to specific elements known to be present: C, O, and F. However, the layers actually represent the different spectral absorption models of the components of the contaminant. The details of the absorption model depend on the chemical bonding of the molecules that comprise the material, but there are at least two different model components with different C:O:F ratios, implying the molecules are unlikely to have the same bonding structure.
The near edge structure of the absorption model is particularly sensitive to these types of bonds and the transmission grating spectra show that the F-K and O-K near edge structures are time-dependent. To avoid excess absorption near the edge, an additional layer each of F and O, having no near edge structure, were added. These simple, Henke-like edges have been assigned different time dependencies than the versions of the F and O opacities that have clear structure near the edges.
ACIS-I3 contamN0014 Effective Areas
![[ACIS-I aimpoint effective areas between N0013 and N0014]](imgs/i3_eas_contam13_14.gif)
![[Print media version: ACIS-I aimpoint effective areas between N0013 and N0014]](imgs/i3_eas_contam13_14.gif)
ACIS-I3 contamN0014 Effective Areas
The effective areas from the N0014 (solid) compared with those from the N0013 (dashed) contamination models for the ACIS-I3 aimpoint. The red-blue curves are from mid-cycle 2000, the blue-cyan curves from 2005, the magenta-yellow curves from 2010, the yellow-red curves from 2015, the teal curves from 2017, the orange curves from 2019, and the olive predictive curves for 2022.
The effective area traces for 2000, 2005, 2010, 2015, and 2017 show only small apparent changes between the N0013 and N0014 contamination models, but for the year 2019, there is considerably more contamination affect in this soft band for the newer model, reflecting source spectra observed through 2019.
ACIS-S3 contamN0014 Effective Areas
![[ACIS-S aimpoint effective areas between N0013 and N0014]](imgs/s3_eas_contam13_14.gif)
![[Print media version: ACIS-S aimpoint effective areas between N0013 and N0014]](imgs/s3_eas_contam13_14.gif)
ACIS-S3 contamN0014 Effective Areas
The effective areas from the N0014 (solid) compared with those from the N0013 (dashed) contamination models for the ACIS-S3 aimpoint. The red-blue curves are from mid-cycle 2000, the blue-cyan curves from 2005, the magenta-yellow curves from 2010, the yellow-red curves from 2015, the teal curves from 2017, the orange curves from 2019, and the olive predictive curves for 2022.
The ACIS-S aimpoint effective area versus time, plotted for May 15th (mid-cycle date) of years 2000, 2005, 2010, 2015, 2017, 2019, and 2022 (predictive), for the current (version N0013, dashes) and newer (N0014, solid) contamination file shows that there are retroactive changes to the resulting effective areas, they are not significant for purposes of fitting/derived parameters. However, as of mid-2018, the new file begins to significantly deviate from the current model.
Additional technical information is available from:
- The Update to the ACIS Contamination Model memo (8 January 2010)
- The Contamination on the ACIS OBF and Changes in the Low Energy QE page
- The ACIS Spatial Contamination Effects memo (19 January 2005) (PDF)
- The Spatial structure in the ACIS OBF contamination memo (20 April 2004) (PDF)
-
The Composition
of the Chandra ACIS contaminant paper (August 2003)
H. L. Marshall, A. Tennant, C. E. Grant, A. P. Hitchcock, S. O'Dell, P. P. Plucinsky
Applying the Correction
The following CIAO response tools automatically take the contamination into account:
As well as the scripts which use them:
- specextract (calls mkwarf and mkarf)
- fullgarf (calls mkgarf)
- fluximage (calls mkinstmap)
- merge_obs and flux_obs (calls mkinstmap)
Each of the tools contains an ardlibparfile parameter with the value"ardlib.par." The location of the calibration file is specified in the ardlib.par file by a set of 10 parameters (one per CCD):
unix% plist ardlib | grep CONTAM AXAF_ACIS0_CONTAM_FILE = CALDB Enter ACIS Contamination File AXAF_ACIS1_CONTAM_FILE = CALDB Enter ACIS Contamination File AXAF_ACIS2_CONTAM_FILE = CALDB Enter ACIS Contamination File AXAF_ACIS3_CONTAM_FILE = CALDB Enter ACIS Contamination File AXAF_ACIS4_CONTAM_FILE = CALDB Enter ACIS Contamination File AXAF_ACIS5_CONTAM_FILE = CALDB Enter ACIS Contamination File AXAF_ACIS6_CONTAM_FILE = CALDB Enter ACIS Contamination File AXAF_ACIS7_CONTAM_FILE = CALDB Enter ACIS Contamination File AXAF_ACIS8_CONTAM_FILE = CALDB Enter ACIS Contamination File AXAF_ACIS9_CONTAM_FILE = CALDB Enter ACIS Contamination File
If anything other than "CALDB" is returned, issue the following command so that the tool will be able to find the correct file:
unix% foreach d ( 0 1 2 3 4 5 6 7 8 9 )
foreach> pset ardlib AXAF_ACIS${d}_CONTAM_FILE="CALDB"
foreach> end
You may also use "punlearn ardlib" to reset all the ardlib parameters to the default values. This will also clear out any other information that has been set, however, such as bad pixel filenames.
Using Older Model Versions
Since the most recent ACIS contamination file has information pertaining to all epochs and the most up-to-date correction, it is not recommended to use older versions of the model. The older models are provided for the purpose of replicating historical results where previous models were used. Older versions of the contamination models stopped being distributed with the CALDB starting with v4.12.4. More information about each version of the ACIS contamination models can be found in their associated CALDB release notes. The older models (acis_contam_N4-15) can be downloaded as a tar file.
To perform an analysis with an older version of an ACIS contamination model (e.g., N0012), the appropriate ardlib parameter should be set pointing to the relevant (old) contamination file. This can be done by manually setting each of the 10 ardlib parameters:
unix% pset ardlib AXAF_ACIS0_CONTAM_FILE = acis_contam_N4-15/acisD1999-08-13contamN0012.fits"[2]" unix% pset ardlib AXAF_ACIS1_CONTAM_FILE = acis_contam_N4-15/acisD1999-08-13contamN0012.fits"[3]" unix% pset ardlib AXAF_ACIS2_CONTAM_FILE = acis_contam_N4-15/acisD1999-08-13contamN0012.fits"[4]" unix% pset ardlib AXAF_ACIS3_CONTAM_FILE = acis_contam_N4-15/acisD1999-08-13contamN0012.fits"[5]" unix% pset ardlib AXAF_ACIS4_CONTAM_FILE = acis_contam_N4-15/acisD1999-08-13contamN0012.fits"[6]" unix% pset ardlib AXAF_ACIS5_CONTAM_FILE = acis_contam_N4-15/acisD1999-08-13contamN0012.fits"[7]" unix% pset ardlib AXAF_ACIS6_CONTAM_FILE = acis_contam_N4-15/acisD1999-08-13contamN0012.fits"[8]" unix% pset ardlib AXAF_ACIS7_CONTAM_FILE = acis_contam_N4-15/acisD1999-08-13contamN0012.fits"[9]" unix% pset ardlib AXAF_ACIS8_CONTAM_FILE = acis_contam_N4-15/acisD1999-08-13contamN0012.fits"[10]" unix% pset ardlib AXAF_ACIS9_CONTAM_FILE = acis_contam_N4-15/acisD1999-08-13contamN0012.fits"[11]"
or all of the ardlib parameters could be set with the foreach command in csh/tcsh like the case shown above:
unix% foreach d ( 0 1 2 3 4 5 6 7 8 9 )
foreach> @ n = ${d} + 2
foreach> pset ardlib AXAF_ACIS${d}_CONTAM_FILE="acis_contam_N4-15/acisD1999-08-13contamN0012.fits[${n}]"
foreach> end
If the ACIS contamination files are not in your working directory then their full path must be provided.
![[CAUTION]](../imgs/caution.png)
Be sure to reset your ardlib parameter file with 'punlearn ardlib' when you are done with your analysis utilizing an old ACIS contamination model. Otherwise this old model may be erroneously used in your future CIAO reductions. You can always view the currently set value of the ardlib parameters with 'plist ardlib'.
Turning Off the Correction
It is possible to "turn off" the contamination correction, e.g. if you would like to compare results with and without it applied. To do so, the ARDLIB qualifier "CONTAM=NO" must be specified in the appropriate parameter, as given in the following table:
| Tool | Parameter |
|---|---|
| mkarf | detsubsys |
| mkgarf | detsubsys |
| mkwarf | detsubsysmod |
| mkinstmap | detsubsys |
There are examples in the help files on how to use the qualifier with each tool. For example, when running mkarf on an ACIS-S3 observation:
unix% pset mkarf detsubsys="ACIS-S3;CONTAM=NO"
Examining the Effects of the Correction
Comparing ARFs of Two Different Contamination Models
It is useful to compare ARF responses created using an older (4.7.2 or earlier) versus a later contamination model (4.7.3) to examine the effects of the correction. One could do this by following the procedure below, which uses ACIS-S imaging observation 11800, taken in July 2010, as an example. The CIAO tool mkwarf is used to create the old and new on-axis ARF responses.
1) Find out how 'old.arf' was created using dmhistory, which will show that it was either mkarf or mkwarf (mkwarf in this example).
% dmhistory infile=old.arf tool= # dmhistory (CIAO 4.5): WARNING: Found "pixlib" library parameters # dmhistory (CIAO 4.5): WARNING: Found "ardlib" library parameters TOOL :mkwarf infile="11800_tdet.fits[wmap]" outfile="old.arf" weightfile="11800.wfef" spectrumfile="" egridspec="0.3:11.0:0.01" pbkfile="pbk0.fits" threshold="0" feffile="CALDB" mskfile="msk1.fits" asolfile="" mirror="HRMA" detsubsysmod="" dafile="CALDB" ardlibpar="ardlib" geompar="geom" clobber="no" verbose="1"
2) Re-run dmhistory, but this time, updating the mkwarf parameter file with the parameter settings returned in step 1. Check that the mkwarf parameter file was properly set by using the 'plist' command.
% dmhistory infile=old.arf tool=mkwarf action=pset
# dmhistory (CIAO 4.9): WARNING: Found "pixlib" library parameters
# dmhistory (CIAO 4.9): WARNING: Found "ardlib" library parameters
% plist mkwarf
Parameters for /home/user/cxcds_param4/mkwarf.par
infile = 11800_tdet.fits[wmap] Input detector WMAP
outfile = old.arf Output weighted ARF file
weightfile = 11800.wfef Output FEF weights
spectrumfile = Input Spectral weighting file (<filename>|NONE)
egridspec = 0.3:11.0:0.01 Output energy grid [kev]
pbkfile = pbk0.fits Parameter block file
(threshold = 0) Percent threshold cut for FEF regions
(feffile = CALDB) FEF file
(mskfile = msk1.fits) Mask file
(asolfile = ) Stack of aspect solution files
(mirror = HRMA) ARDLIB Mirror specification
(detsubsysmod = ) Detector sybsystem modifier
(dafile = CALDB) Dead area file
(ardlibpar = ardlib) Parameter file for ARDLIB files
(geompar = geom) Parameter file for Pixlib Geometry files
(clobber = no) Clobber existing outputs
(verbose = 1) Tool chatter level
(mode = ql)
3) After updating the CALDB to the latest version with the most recent contamination model, re-run mkwarf with these parameter settings, except for changing the outfile name to 'new.arf'. (Note that you may need to change directories or adjust the file paths depending on how things were run to create old.arf.) If you wanted to compare a model to a different version than the latest you could following the directions in the Using Older Model Versions section and point the ardlib parameters to an different model before re-running mkwarf.
% mkwarf outfile=new.arf
4) Compare the old and new ARFs by plotting them together. For this dataset, the old and new ARFs are shown below:
Comparison of two contamination models
![[ARF created using old (CALDB 4.7.2) vs. new (CALDB 4.7.3) contamination model]](imgs/contam_N0010vN0009.png)
![[Print media version: ARF created using old (CALDB 4.7.2) vs. new (CALDB 4.7.3) contamination model]](imgs/contam_N0010vN0009.png)
Comparison of two contamination models
An on-axis ARF response created using older CALDB version 4.7.2 CONTAM N0009 (black curve) for an ACIS-S observation taken in July 2010, compared to that produced with the updated contamination model included in CALDB 4.5.9 CONTAM N0010 (red curve).
The N0013 and prior CONTAM Models
The version N0013 model was the result of ACIS monitoring (2018 through mid-2019) and modeling—of the blazar Mkn 421 and galaxy cluster Abell 1795, and supplemented by calibration observations of the supernova remnant 1E 0102-72.3—showing that the N0011/N0012 contamination model, which described the accumulation of the contaminant leveling off in 2017, disagreeing with this trend and suggested the resumption of the rapid rate of accumulation observed prior to 2016.
This contamination model was developed on top of the systematic procedure—using observations of standard sources A1795 and Mkn 421, on ACIS-I and ACIS-S separately— and supplemented with observations of the astronomical calibration source 1E 0102-72.3. New enhancements in the temporal model added additional complexity to the layers of several model components (C, O, and F) known to dominate the chemical composition of the contaminating layer on the ACIS OBF introduced in the N0011 and N0012 contamination models for ACIS-I and ACIS-S, respectively. The spatial model introduced in N0010, gives more consistent results at off-axis pointings on both ACIS-I and ACIS-S. The issues with the lack of knowledge on the contamination layer optical depth at high CHIPY locations on ACIS-S3 caused problems in prior models, but the spatial model allows for asymmetry in the ACIS-S CHIPY contamination layer to provide better fits.
For both ACIS-I and ACIS-S, the N0013 models only have a minor affect on the pre-2005 EAs; and while the contamination is negligible above 2.0 keV, but near the O-K absorption edge at 0.535 keV, the difference between the N0009 and N0010 models is not insignificant, so the new contamination model only affeced low-energy source modeling results for observations after 2005, especially analysis where a significant portion of the considered spectrum is below 1.0 keV.
Spatial Contamination Model (center S3)
![[Thumbnail image: Updated spatial variation of the contaminant on ACIS-S3 and include the latest calibration source measurements]](imgs/acis_spatial_contam12_13.thmb.png)
[Version: full-size]
![[Print media version: Updated spatial variation of the contaminant on ACIS-S3 and include the latest calibration source measurements]](imgs/acis_spatial_contam12_13.gif)
Spatial Contamination Model (center S3)
The evolution of the optical depth spatial variation of the contamination layer across the optical blocking filter on ACIS-S3 from the contamination model (trace) compared to calibration "big dither" ACIS-S/LETG observations of Mkn 421 (diamond) and imaging observations of Abell 1795 (circle). The N0012 (left) and N0013 (right) contamination models are shown.
The temporal component had been revised to describe the accumulation of the contaminant with a power-law instead of a flattening model, making a notable change in the effective area below 1 keV, particularly on ACIS-I. This was based on several data points between 2016-2018 where starting in late-2017, calibration observations started to show that the predictive component of the N0010 contamination model was over-estimating the rate of accumulation on the OBF and the affects of contamination, considerably reducing the effective area of data products generated with the model across the 0.06-3.0 keV energy range compared to the true effective area. This leveling off of the contaminant build up in 2017, particularly on the ACIS-I OBF, was introduced as a modification of the N0010 contamination model in the time-dependent model for ACIS-I in the N0011 model and ACIS-S in the N0012 model—introduced in June and October 2018, respectively—and propagated into the predictive regime of the models. However, observations taken since mid-2018 through 2019 indicated that the contaminant resumed accumulating at a rapid rate on ACIS-I, resulting in the temporal model change in the N0013 contamination model.
Temporal Contamination Model (center S3)
![[Thumbnail image: Updated time-dependence in the center of both ACIS-S3 and include the latest calibration source measurements]](imgs/acis_time_contam12_13.thmb.png)
[Version: full-size]
![[Print media version: Updated time-dependence in the center of both ACIS-S3 and include the latest calibration source measurements]](imgs/acis_time_contam12_13.gif)
Temporal Contamination Model (center S3)
The time-evolution of the optical depth of the contaminant layer on the optical blocking filter in the center of both ACIS-S3 from the contamination model (trace) compared to calibration "big dither" ACIS-S/LETG observations of Mkn 421 (diamond) and imaging observations of Abell 1795 (circle). The N0012 (left) and N0013 (right) contamination models are shown.
However, the resumption of the rapid increase in the contaminant was clear after early-2018 in the N0012 temporal model trace. The N0013 temporal model becomes linear with time at about 2016 and thereafter, which fits the 2018-2019 measurements much better without compromising earlier period performance.
Prior to the N0010 model, the absorption layers of the contaminant corresponded to specific elements known to be present: C, O, and F. However, the layers actually represent the different spectral absorption models of the components of the contaminant. The details of the absorption model depend on the chemical bonding of the molecules that comprise the material, but there are at least two different model components with different C:O:F ratios, implying the molecules are unlikely to have the same bonding structure.
The near edge structure of the absorption model is particularly sensitive to these types of bonds and the transmission grating spectra show that the F-K and O-K near edge structures are time-dependent. To avoid excess absorption near the edge, an additional layer each of F and O, having no near edge structure, were added. These simple, Henke-like edges have been assigned different time dependencies than the versions of the F and O opacities that have clear structure near the edges.
ACIS-I3 contamN0013 Effective Areas
![[ACIS-I aimpoint effective areas between N0012 and N0013]](imgs/i3_eas_contam12_13.gif)
![[Print media version: ACIS-I aimpoint effective areas between N0012 and N0013]](imgs/i3_eas_contam12_13.gif)
ACIS-I3 contamN0013 Effective Areas
The effective areas from the N0013 (solid) compared with those from the N0012 (dashed) contamination models for the ACIS-I3 aimpoint. The red-blue curves are from mid-cycle 2000, the blue-cyan curves from 2005, the magenta-yellow curves from 2010, the yellow-red curves from 2015, the teal curves from 2017, the orange curves from 2019, and the olive predictive curves for 2022.
The effective area traces for 2000, 2005, 2010, and 2015 show only small apparent changes between the N0012 and N0013 contamination models, but for the year 2019, there is considerably more contamination affect in this soft band for the newer model, reflecting source spectra observed through 2019.
ACIS-S3 contamN0013 Effective Areas
![[ACIS-S aimpoint effective areas between N0012 and N0013]](imgs/s3_eas_contam12_13.gif)
![[Print media version: ACIS-S aimpoint effective areas between N0012 and N0013]](imgs/s3_eas_contam12_13.gif)
ACIS-S3 contamN0013 Effective Areas
The effective areas from the N0013 (solid) compared with those from the N0012 (dashed) contamination models for the ACIS-S3 aimpoint. The red-blue curves are from mid-cycle 2000, the blue-cyan curves from 2005, the magenta-yellow curves from 2010, the yellow-red curves from 2015, the teal curves from 2017, the orange curves from 2019, and the olive predictive curves for 2022.
The ACIS-S aimpoint effective area versus time, plotted for May 15th (mid-cycle date) of years 2000, 2005, 2010, 2015, 2017, 2019 (~current date), and 2022 (predictive), for the current (version N0012, dashes) and newer (N0013, solid) contamination file showed that there were retroactive changes to the resulting effective areas, they were not significant for purposes of fitting/derived parameters. However, as of mid-2018, the N0013 file began to significantly deviate from the N0011/N0012 model.
The versions N0011 and N0012 models were the result ACIS monitoring and modeling from 2015-2018 and allows for improved fits to standard extended source spectra with stable photoabsorption and other fitted parameters of their systematic models, but the degree of such a change on the results for various source models is hard to estimate without any particulars. The N0011 model is an improvement over the N0010 for the ACIS-I chips, for observations since the start of 2016, and the N0012 model is an improvement over the N0010 for the ACIS-S chips (while also incorporating the N0011 ACIS-I model). These two models were necessitated when observations made in early 2018 showed that the N0010 model overestimated the absorption affect on ACIS.
ACIS-I3 contamN0012 Effective Areas
![[ACIS-I aimpoint effective areas between N0010 and N0011]](imgs/acis3_aimptEA_contam10_11_log.gif)
![[Print media version: ACIS-I aimpoint effective areas between N0010 and N0011]](imgs/acis3_aimptEA_contam10_11_log.gif)
ACIS-I3 contamN0012 Effective Areas
The effective areas from the N0011/N0012 (dashed) compared with those from the N0010 (solid) contamination models for the ACIS-I3 aimpoint. The red curves are mid-cycle from the year 2000, the green curves from 2010, blue curves from 2016, and cyan curves from 2018.
The effective area traces for 2000, 2010, and 2016 show only small apparent changes between the N0010 and N0011 contamination models, but for the year 2018, there is considerably less contamination affect in this soft band for the newer model, reflecting source spectra observed early in 2018. It appears that an under-correction for energies above the F-K edge, at ~0.7 keV, since 2015 caused the optical depth after 2015 to gradually rise quicker in the model than which is seen in observed data over time.
ACIS-S3 contamN0012 Effective Areas
![[ACIS-S aimpoint effective areas between N0010 and N0012]](imgs/aciss_arfs_contam11_12.gif)
![[Print media version: ACIS-S aimpoint effective areas between N0010 and N0012]](imgs/aciss_arfs_contam11_12.gif)
ACIS-S3 contamN0012 Effective Areas
The effective areas from the N0012 (dashed) compared with those from the N0010/N0011 (solid) contamination models for the ACIS-S3 aimpoint. The red curves are mid-cycle from the year 2000, the green curves from 2010, blue curves from 2016, cyan curves for 2018, and magenta curves for 2019.
The ACIS-S aimpoint effective area versus time, plotted for May 15th (mid-cycle date) of years 2000, 2010, 2016, 2018 (~current date), and 2019 (predictive), for the current (version N0011/N0010, solid) and newer (N0012, dashes) contamination file shows that there are retroactive changes to the resulting effective areas, they are not significant for purposes of fitting/derived parameters. However, as of early 2018, the new file begins significantly to address the over-estimation of the contamination effect that has been evident in the most recent observations.
The version N0010 model was the result of ACIS monitoring and modeling and allows for improved fits to standard extended source spectra with stable photoabsorption and and other fitted parameters of their systematic models. The model was applicable to ALL ACIS observations throughout the mission, and was intended to replace all previous versions.
As the Chandra mission proceeded, the contamination on the ACIS Optical Blocking Filters (OBF) for ACIS-I and ACIS-S continued to evolve, with a marked increase in the rate of accumulation starting in the middle of 2009. While the cause of the increased accumulation is not well-understood, the deposition curve appeared as nearly-linear, monotonically increasing with time.
Time-dependence (center of chips)
![[Updated time-dependence in the center of both ACIS-I and S and include the latest external calibration source measurements]](imgs/opt_depth_time_evo.png)
![[Print media version: Updated time-dependence in the center of both ACIS-I and S and include the latest external calibration source measurements]](imgs/opt_depth_time_evo.png)
Time-dependence (center of chips)
The time-evolution of the optical depth of the contaminant layer on the optical blocking filter in the center of both ACIS-I (square) and ACIS-S (diamond) from A1795 measurements, and external calibration source L/K measurements (triangle).
The rapid increase in the contaminant indicated that ACIS-S is not ideal for very soft sources in the future, particularly below the 283 eV carbon edge.
The contamination model was developed in a systematic procedure, using observations of standard sources A1795 and Mkn421, on ACIS-I and ACIS-S separately. The version N0010 model includes new time-dependent and spatial variation of several model components (C, O, and F) known to dominate the chemical composition of the contaminating layer on the ACIS OBF. The spatial model, in particular, is much improved over prior models, giving more consistent results at off-axis pointings on both ACIS-I and ACIS-S. The issues with the lack of knowledge on the contamination layer optical depth at high CHIPY locations on ACIS-S3 caused problems in prior models, but the new model allows for asymmetry in the ACIS-S CHIPY contamination layer to provide better fits.
ACIS-S/LEG-1 Effective Areas
![[ACIS-S/LEG-1 effective areas between N0009 and N0010]](imgs/acisleg1_contam_n9n10.gif)
![[Print media version: ACIS-S/LEG-1 effective areas between N0009 and N0010]](imgs/acisleg1_contam_n9n10.gif)
ACIS-S/LEG-1 Effective Areas
To illustrate the spatial variations in the model, first-order ACIS-S/LETG effective areas derived from various ObsIDs with the same Z-offset (-8 mm) and Y-offset (1.5 arcmin). ObsIDs from four different years are chosen as shown in the key. The solid curves are done with N0010 model; the dashed curves with N0009 model.
The subsequent change in ACIS-I effective areas (EAs) between the N0009 and N0010 is illustrated below.
ACIS-I Effective Areas
![[ACIS-I effective areas between N0009 and N0010]](imgs/i3_aimpt_contam_n9_n10.gif)
![[Print media version: ACIS-I effective areas between N0009 and N0010]](imgs/i3_aimpt_contam_n9_n10.gif)
ACIS-I Effective Areas
The ACIS-I aimpoint effective areas versus energy for mid-year times as indicated in the key. The solid curves were calculated with the newer N0010 file; the dashed curves of the corresponding color were with N0009.
Similarly, the change in ACIS-S EAs are illustrated below.
ACIS-S Effective Areas
![[ACIS-S effective areas between N0009 and N0010]](imgs/s3_aimpt_contam_n9_n10.gif)
![[Print media version: ACIS-S effective areas between N0009 and N0010]](imgs/s3_aimpt_contam_n9_n10.gif)
ACIS-S Effective Areas
The ACIS-S aimpoint effective areas versus energy for mid-year times as indicated in the key. The solid curves were calculated with the newer N0010 file; the dashed curves of the corresponding color were with N0009.
The version N0008 model was released in CALDB 4.5.9, provides a more realistic model of the contaminant—without use of an artificial "fluffium" component as in previous models—resulting in a more accurate representation and prediction of current and future effective ACIS QE. Subsequently, there is a significant loss of effective area for present and future observations using the model as compared to previous models; however, early- and mid-mission effective areas are not much affected by the new model.
The version N0009 upgrade accounts for the rapid build-up of contaminant on the optical blocking filter since early-mid 2013; but is otherwise identical to the N0008 contamination model.
Time-dependence (center of chips)
![[Updated time-dependence in the center of both ACIS-I and S and include the latest external calibration source measurements]](imgs/figure5_4.5.9.gif)
![[Print media version: Updated time-dependence in the center of both ACIS-I and S and include the latest external calibration source measurements]](imgs/figure5_4.5.9.gif)
Time-dependence (center of chips)
Updated time-evolution of the optical depth of the contaminant layer on the optical blocking filter in the center of both ACIS-I (red) and ACIS-S (blue) from A1795 measurements, and external calibration source L/K measurements (black). The solid line is the fit in the latest N0008 model.
Time-dependence of the contaminant spatial pattern
![[Updated time-dependence of the contaminant spatial pattern.]](imgs/figure6_4.5.9.gif)
![[Print media version: Updated time-dependence of the contaminant spatial pattern.]](imgs/figure6_4.5.9.gif)
Time-dependence of the contaminant spatial pattern
The same keys apply as in the previous figure. A1795 and ECS measurements show the change of the optical depth of the contaminant layer on the optical blocking filter at 700 eV between the edge and center of the detector. Note the rapid spatial variation of the contaminant with time since 2009.
At high CHIPY locations on ACIS-S3 for imaging spectroscopy, there is uncertainty in the depth of the contaminant layer found in the N0008 model. Fitting results may be compromised at these locations.
The subsequent change in ACIS-I effective areas (EAs) between the N0007 and N0008 is illustrated below.
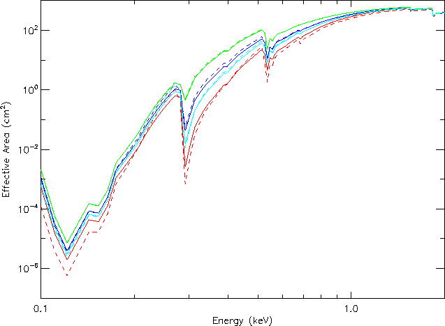
ACIS-I Effective Areas
![[ACIS-I effective areas between N0007 and N0008.]](imgs/figure11_4.5.9.gif)
![[Print media version: ACIS-I effective areas between N0007 and N0008.]](imgs/figure11_4.5.9.gif)
ACIS-I Effective Areas
The ACIS-I aimpoint effective areas versus energy for January 01 of 2000 (green), 2004 (blue), 2009 (cyan), and projected for 2015 (red). The solid curves are the EAs from the N0007 contamination model and the dashed curves are from the N0008 model.
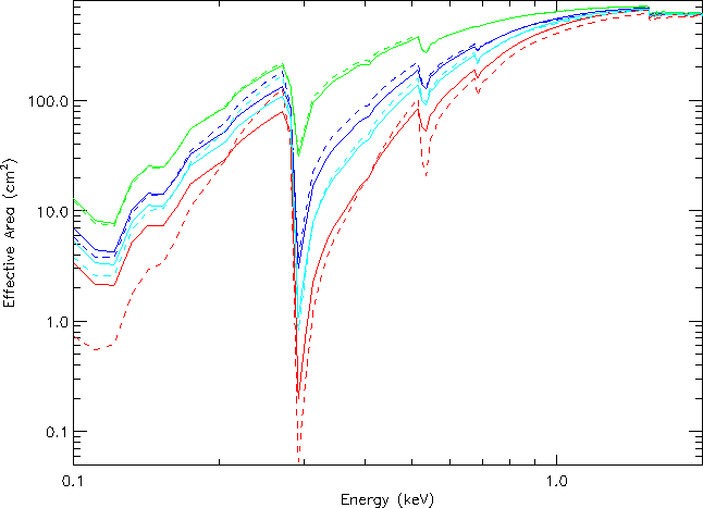
Similarly, the change in ACIS-S EAs are illustrated below.
ACIS-S Effective Areas
![[ACIS-S effective areas between N0007 and N0008.]](imgs/figure12_4.5.9.gif)
![[Print media version: ACIS-S effective areas between N0007 and N0008.]](imgs/figure12_4.5.9.gif)
ACIS-S Effective Areas
The ACIS-S aimpoint effective areas versus energy for January 01 of 2000 (green), 2004 (blue), 2009 (cyan), and projected for 2015 (red). The solid curves are the EAs from the N0007 contamination model and the dashed curves are from the N0008 model.
For both ACIS-I and S, the new model only has a minor affect on the early- and mid-mission EAs, except for very near the C-K, O-K, and F-K absorption edges, which do not affect fitting results significantly near the edges for mid-mission observations.
The rapid increase in the contaminant indicates that ACIS-S is not ideal for very soft sources in the future, particularly below the 283 eV carbon edge.
Information on releases prior to the version N0007 model can be found in "Prior ACIS QE Contamination and CONTAM Models".